469 chủ xe có biển số sau nhanh chóng đến công an để nộp phạt nguội
(Thị trường tài chính) - Công an tỉnh Vĩnh Phúc vừa công bố danh sách phương tiện bị phạt nguội từ ngày 11-25/1/2025.
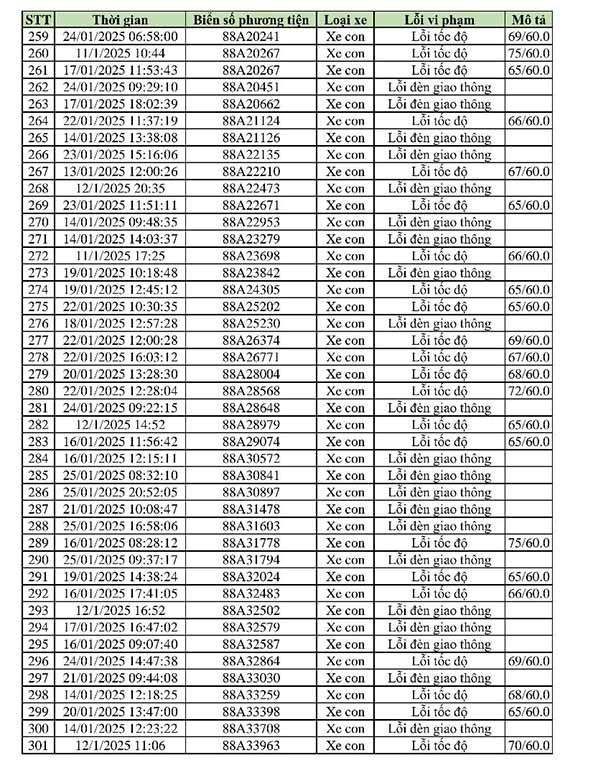
Trong thời gian này, lực lượng chức năng đã phát hiện và xử lý 469 trường hợp vi phạm Luật Giao thông đường bộ.

Cán bộ phòng CSGT Công an tỉnh Vĩnh Phúc trích xuất dữ liệu xử phạt lỗi vi phạm giao thông (Ảnh minh họa: Sỹ Hào)
Dưới đây là danh sách cụ thể:








Danh sách phương tiện vi phạm từ ngày 11-25/1/2025 (Ảnh: Công an Vĩnh Phúc)
Chủ phương tiện có tên trong danh sách cần đến Đội Cảnh sát giao thông, Công an TP. Vĩnh Yên để làm việc và nộp phạt theo quy định. Dưới đây là danh sách chi tiết.
Người dân cần lưu ý khi đến giải quyết vi phạm chuẩn bị đầy đủ các giấy tờ gồm: Giấy đăng ký xe, giấy chứng nhận kiểm định an toàn kỹ thuật và bảo vệ môi trường, giấy phép lái xe của người vi phạm, căn cước công dân của người vi phạm (mỗi loại giấy tờ cần photo một bản).





